2015 DSE 历史-History 真题 答案 详解
2015-05-09 dse dse 历史-History
| 序号 | 文件列表 | 说明 | ||
|---|---|---|---|---|
| 1 | 2015-历史-History-answer-zh.pdf | 64 页 | 4.14MB | 答案(中文) |
| 2 | 2015-历史-History-answer-eng.pdf | 12 页 | 1.39MB | 答案(英文) |
| 3 | 2015-历史-History-paper1-zh.pdf | 7 页 | 522.65KB | 真题 Paper 1(中文) |
| 4 | 2015-历史-History-paper2-zh.pdf | 2 页 | 249.54KB | 真题 Paper 2(中文) |
| 5 | 2015-历史-History-paper1-eng.pdf | 7 页 | 910.10KB | 真题 Paper 1(英文) |
| 6 | 2015-历史-History-paper2-eng.pdf | 2 页 | 302.24KB | 真题 Paper 2(英文) |
答案(中文)
評卷參考
本文件供閱卷員參考而設,並不應被視為標準答案。考生及沒有參與評卷工作的教師在釋讀文件內容時應小心謹慎。
30
Provided by dse.life

答案(英文)
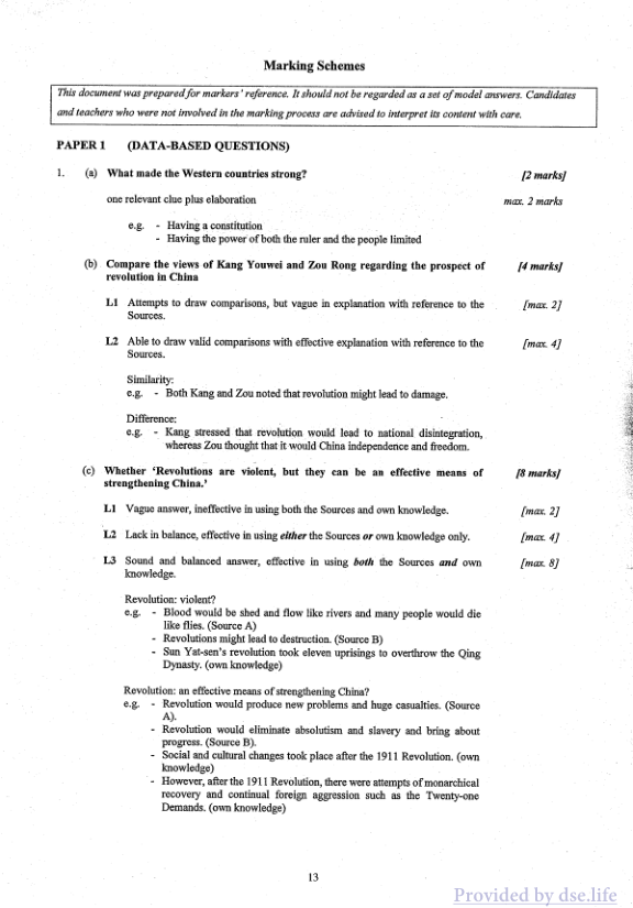
Marking Schemes
This document was prepared for markers' reference. It should not be regarded as a set of model answers. Candidates and teachers who were not involved in the marking process are advised to interpret its content with care.
PAPER 1 (DATA-BASED QUESTIONS)
- (a) What made the Western countries strong? [2 marks] one relevant clue plus elaboration max. 2 marks e.g. - Having a constitution - Having the power of both the ruler and the people limited
(b) Compare the views of Kang Youwei and Zou Rong regarding the prospect of revolution in China [4 marks] L1 Attempts to draw comparisons, but vague in explanation with reference to the Sources. [max. 2] L2 Able to draw valid comparisons with effective explanation with reference to the Sources. [max. 4] Similarity: e.g. - Both Kang and Zou noted that revolution might lead to damage. Difference: e.g. - Kang stressed that revolution would lead to national disintegration, whereas Zou thought that it would China independence and freedom.
(c) Whether 'Revolutions are violent, but they can be an effective means of strengthening China.' [8 marks] L1 Vague answer, ineffective in using both the Sources and own knowledge. [max. 2] L2 Lack in balance, effective in using either the Sources or own knowledge only. [max. 4] L3 Sound and balanced answer, effective in using both the Sources and own knowledge. [max. 8]
Revolution: violent? e.g. - Blood would be shed and flow like rivers and many people would die like flies. (Source A) - Revolutions might lead to destruction. (Source B) - Sun Yat-sen's revolution took eleven uprisings to overthrow the Qing Dynasty. (own knowledge)
Revolution: an effective means of strengthening China? e.g. - Revolution would produce new problems and huge casualties. (Source A). - Revolution would eliminate absolutism and slavery and bring about progress. (Source B). - Social and cultural changes took place after the 1911 Revolution. (own knowledge) - However, after the 1911 Revolution, there were attempts of monarchical recovery and continual foreign aggression such as the Twenty-one Demands. (own knowledge)
13 Provided by dse.life

真题 Paper 1(中文)
2015-DSE 歷史 卷一
香港考試及評核局 2015年香港中學文憑考試
歷史 試卷一
本試卷必須用中文作答 一小時四十五分鐘完卷(上午八時三十分至上午十時十五分)
考生須知 1. 本卷為歷史資料題,全部試題均須作答。每題估分於題末括號內顯示,用以提示答案所需之篇幅;答案長度可為一小段或若干小段。 2. 倘若試題設有分題,考生必須相應分部作答,否則可能被扣分。 3. 答案須寫在答题簿内,每题(非指分题)必须另起新页作答。
考试结束前不可将试卷带离考场
2015-DSE-HIST 1-1
Provided by dse.life

真题 Paper 2(中文)
2015-DSE 歷史 卷二
香港考試及評核局 2015年香港中學文憑考試
歷史 試卷二
本試卷必須用中文作答 一小時三十分鐘完卷(上午十一時至下午十二時三十分)
考生須知 1. 本卷包括七題論述題,考生可任選兩題作答。 2. 答案須寫在答题簿內,每題必须另起新頁作答。
考試結束前不可 將試卷攜離試場
2015-DSE-HIST 2-1
11
Provided by dse.life

真题 Paper 1(英文)
2015-DSE HIST PAPER 1
HONG KONG EXAMINATIONS AND ASSESSMENT AUTHORITY
HONG KONG DIPLOMA OF SECONDARY EDUCATION EXAMINATION 2015
HISTORY PAPER 1
8:30 am – 10:15 am (1 hour 45 minutes)
This paper must be answered in English
INSTRUCTIONS
1. This paper consists of compulsory data-based questions. The maximum mark for each question is indicated in brackets after each question. It is a guide to the length of answer required, which may vary from one to a few short paragraphs.
2. Where a question is divided into a number of sub-questions, you MUST divide your answer into different parts accordingly. You risk mark penalties if you do not do so.
3. Write your answers in the answer book. Start each question (not sub-question) on a new page.
Not to be taken away before the end of the examination session
2015-DSE-HIST 1-1
4
Provided by dse.life

真题 Paper 2(英文)
2015-DSE HIST PAPER 2
HONG KONG EXAMINATIONS AND ASSESSMENT AUTHORITY
HONG KONG DIPLOMA OF SECONDARY EDUCATION EXAMINATION 2015
HISTORY PAPER 2
11:00 am – 12:30 pm (1 hour 30 minutes)
This paper must be answered in English
INSTRUCTIONS
1. This paper consists of seven essay-type questions, of which you may attempt any two.
2. Write your answers in the answer book. Start each question on a new page.
Not to be taken away before the end of the examination session
2015-DSE-HIST 2-1
11
Provided by dse.life
