2021 DSE 英国语文-English 真题 答案 详解
2021-05-02 dse dse 英国语文-English
| 序号 | 文件列表 | 说明 | ||
|---|---|---|---|---|
| 1 | 2021-英国语文-English-answer.pdf | 39 页 | 14.93MB | 答案 |
| 2 | 2021-英国语文-English-paper1.pdf | 17 页 | 6.38MB | 真题 Paper 1 |
| 3 | 2021-英国语文-English-paper2.pdf | 7 页 | 2.25MB | 真题 Paper 2 |
| 4 | 2021-英国语文-English-paper3.pdf | 38 页 | 11.55MB | 真题 Paper 3 |
答案
Marking Schemes
This document was prepared for markers' reference. It should not be regarded as a set of model answers. Candidates and teachers who were not involved in the marking process are advised to interpret its content with care.
Paper 1 (Reading)
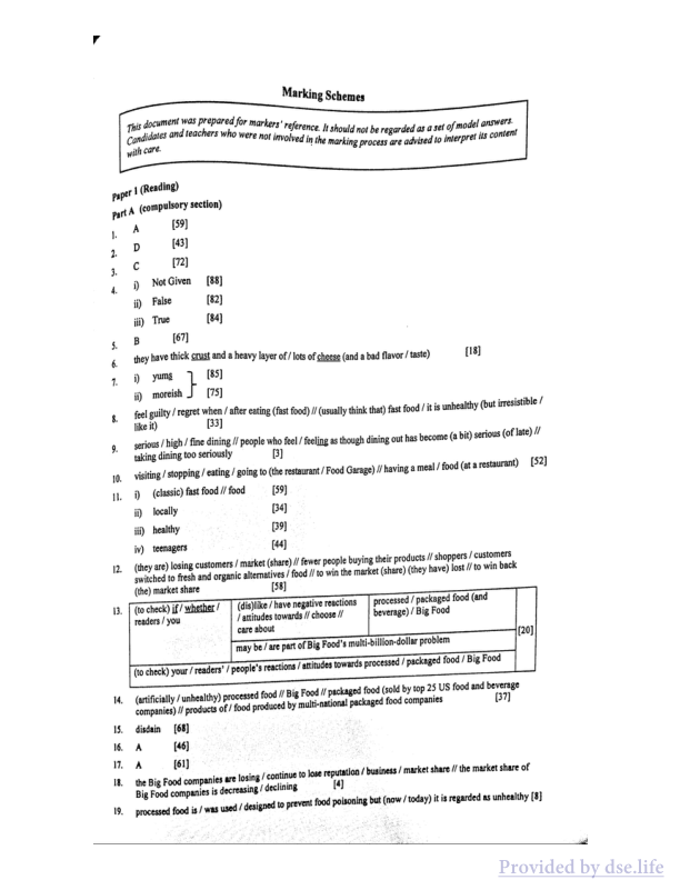
Part A (compulsory section) 1. A [59] 2. D [43] 3. C [72] 4. i) Not Given [88] ii) False [82] iii) True [84] 5. B [67] 6. they have thick crust and a heavy layer of / lots of cheese (and a bad flavor / taste) [18] 7. i) yums [85] ii) moreish [75] 8. feel guilty / regret when / after eating (fast food) // usually think that fast food / it is unhealthy (but irresistible / like it) [33] 9. serious / high / fine dining // people who feel / feeling as though dining out has become (a bit) serious (of late) // taking dining too seriously [3] 10. visiting / stopping / eating / going to (the restaurant / Food Garage) // having a meal / food (at a restaurant) [52] 11. i) (classic) fast food // food [59] ii) locally [34] iii) healthy [39] iv) teenagers [44] 12. (they are) losing customers / market (share) // fewer people buying their products // shoppers / customers switched to fresh and organic alternatives / food // to win the market (share) (they have lost // to win back (the market share) [58] 13. (to check) if / whether / readers / you (dis)like / have negative reactions / attitudes towards / choose / care about processed / packaged food (and beverage) / Big Food may be / are part of Big Food's multi-billion-dollar problem [20] (to check) your / readers’ / people’s reactions / attitudes towards processed / packaged food / Big Food 14. (artificially / unhealthy) processed food // Big Food // packaged food (sold by top 25 US food and beverage companies) // products of / food produced by multi-national packaged food companies [37] 15. disdain [68] 16. A [46] 17. A [61] 18. the Big Food companies are losing / continue to lose reputation / business / market share // the market share of Big Food companies is decreasing / declining [4] 19. processed food is / was used / designed to prevent food poisoning but (now / today) it is regarded as unhealthy [8]
Provided by dse.life

真题 Paper 1
2021-DSE ENG LANG PAPER 1 PART A HONG KONG EXAMINATIONS AND ASSESSMENT AUTHORITY HONG KONG DIPLOMA OF SECONDARY EDUCATION EXAMINATION 2021 A COMPULSORY ENGLISH LANGUAGE PAPER 1 PART A Reading Passages 8:30 am — 10:00 am (1½ hours) (for both Parts A and B) GENERAL INSTRUCTIONS (1) There are two parts (A and B) in this paper. All candidates should attempt Part A. In Part B, you should attempt either Part B1 (easier section) OR Part B2 (more difficult section). Candidates attempting Parts A and B will be able to attain the full range of levels, while Level 4 will be the highest level attainable for candidates attempting Parts A and B1. (2) After the announcement of the start of the examination, you should first write your Candidate Number and stick barcode labels in the spaces provided on the appropriate pages of the Part A Question-Answer Book and the Part B Question-Answer Book which you are going to attempt. (3) Write your answers in the spaces provided in the Question-Answer Books. Answers written in the margins will not be marked. (4) For multiple-choice questions, you are advised to blacken the appropriate circle with a pencil so that wrong marks can be completely erased with a clean rubber. Mark only ONE answer to each question. Two or more answers will score NO MARKS. (5) Supplementary answer sheets will be supplied on request. Use separate supplementary answer sheets for Part A and Part B. Write your Candidate Number, mark the question number box and stick a barcode label on each sheet, and fasten them with string INSIDE the relevant Question-Answer Book. (6) No extra time will be given to candidates for sticking on barcode labels or filling in the question number boxes after the 'Time is up' announcement. (7) The two Question-Answer Books you have attempted (one for Part A and one for Part B) will be collected together at the end of the examination. Fasten the two Question-Answer Books together with the green tag provided. (8) The unused Question-Answer Book for Part B will be collected separately at the end of the examination. This will not be marked. Do not write any answers in it. INSTRUCTIONS FOR PART A (1) The Question-Answer Book for Part A is inserted in this Reading Passages booklet. (2) Attempt ALL questions in Part A. Each question carries ONE mark unless otherwise stated. Not to be taken away before the end of the examination session 2021-DSE-ENG LANG 1-A-RP-1 9 Provided by dse.life

真题 Paper 2
2021-DSE ENG LANG PAPER 2
HONG KONG EXAMINATIONS AND ASSESSMENT AUTHORITY HONG KONG DIPLOMA OF SECONDARY EDUCATION EXAMINATION 2021
ENGLISH LANGUAGE PAPER 2 Question-Answer Book
11:00 am - 1:00 pm (2 hours) (for both Parts A and B)
INSTRUCTIONS
-
There are two parts (A and B) in this paper. Candidates should attempt Part A and ONE question from Part B.
-
After the announcement of the start of the examination, you should first write your Candidate Number in the space provided on Page 1 and stick barcode labels in the spaces provided on Pages 1, 3 and 5.
-
For Part B, you should put an 'X' in the corresponding question number box on Page 8 to indicate the question you are going to attempt.
-
Write your answers in the space provided in this Question-Answer Book. Answers written in the margins will not be marked.
-
Do not use your real name in answering any of the questions. If names are provided in the question, you must use those names. If no name is provided and you still wish to use a name to identify yourself, then use 'Chris Wong'. If you need to use names for other characters in the composition not specified by the question, you may use names such as Mary, Peter, Mr Smith, Ms Young, etc. You may lose marks if you do not follow these instructions.
-
Rough work should be done on the rough-work sheets which will be collected separately. These will not be marked.
-
Additional supplementary answer sheets will be supplied on request. Write your Candidate Number, mark the question number box and stick a barcode label on each sheet and fasten them with string INSIDE this book.
-
No extra time will be given to candidates for sticking on the barcode labels or filling in the question number boxes after the ‘Time is up’ announcement.
Please stick the barcode label here.
Candidate Number
26
2021-DSE-ENG LANG 2-1
AO20E002
Provided by dse.life

真题 Paper 3
2021-DSE ENG LANG PAPER 3 PART A
A COMPULSORY
HONG KONG EXAMINATIONS AND ASSESSMENT AUTHORITY HONG KONG DIPLOMA OF SECONDARY EDUCATION EXAMINATION 2021
ENGLISH LANGUAGE PAPER 3 PART A Question-Answer Book
GENERAL INSTRUCTIONS
(1) There are two parts (A and B) in this paper. All candidates should attempt ALL tasks in Part A. In Part B, you should attempt either Part B1 (easier section) OR Part B2 (more difficult section). Candidates attempting Parts A and B2 will be able to attain the full range of levels, while Level 4 will be the highest level attainable for candidates attempting Parts A and B1.
(2) Write your Candidate Number and stick barcode labels in the spaces provided on the appropriate pages of Part A Question-Answer Book and both Part B Question-Answer Books.
(3) Write your answers clearly and neatly in the spaces provided in the Question-Answer Books. Answers written in the margins will not be marked. You are advised to use a pencil throughout Part A.
(4) All listening materials will be played ONCE only.
(5) Supplementary answer sheets will be supplied on request. Use separate supplementary answer sheets for Part A and Part B. Write your Candidate Number, mark the question number box and stick a barcode label on each sheet and fasten them with string INSIDE the relevant Question-Answer Book.
(6) The rough-work sheets provided are for you to take notes. They will be collected separately and will not be marked.
(7) No extra time will be given to candidates for sticking on the barcode labels or filling in the question number boxes after the 'Time is up' announcement.
(8) The two Question-Answer Books attempted by candidates (one for Part A and one for Part B) will be collected together at the end of the examination. Fasten the two Question-Answer Books together with the green tag provided.
(9) The other unused Question-Answer Book for Part B will be collected separately at the end of the examination. This will not be marked. Do not write any answers in it.
Please stick the barcode label here.
Candidate Number
2021-DSE-ENG LANG 3-A-1 38 A020E03A Provided by dse.life
